收藏 | 深度学习损失函数大全

来源:机器学习与数学

本文约7600字,建议阅读10+分钟。

Tensorflow 和 PyTorch 很多都是相似的,这里以 PyTorch 为例。

一、L1范数损失 L1Loss

计算 output 和 target 之差的绝对值。

torch.nn.L1Loss(reduction='mean')

参数:

  • reduction - 三个值:

    • none:不使用约简;

    • mean:返回loss和的平均值;

    • sum:返回loss的和。默认:mean。

二、均方误差损失 MSELoss

计算 output 和 target 之差的均方差。

torch.nn.MSELoss(reduction='mean')

参数:

  • reduction - 三个值:

    • none:不使用约简;

    • mean:返回loss和的平均值;

    • sum:返回loss的和。默认:mean。

三、交叉熵损失 CrossEntropyLoss

当训练有 C 个类别的分类问题时很有效。可选参数 weight 必须是一个1维Tensor,权重将被分配给各个类别。对于不平衡的训练集非常有效。

在多分类任务中,经常采用 softmax 激活函数+交叉熵损失函数,因为交叉熵描述了两个概率分布的差异,然而神经网络输出的是向量,并不是概率分布的形式。所以需要 softmax 激活函数将一个向量进行“归一化”成概率分布的形式,再采用交叉熵损失函数计算 loss。

torch.nn.CrossEntropyLoss(weight=None,ignore_index=-100, reduction='mean')

参数:
  • weight (Tensor, optional) – 自定义的每个类别的权重。必须是一个长度为 C 的 Tensor。

  • ignore_index (int, optional) – 设置一个目标值, 该目标值会被忽略, 从而不会影响到输入的梯度。

  • reduction - 三个值:

    • none:不使用约简;

    • mean:返回loss和的平均值;

    • sum:返回loss的和。默认:mean。

四、KL 散度损失 KLDivLoss

计算 input 和 target 之间的 KL 散度。KL 散度可用于衡量不同的连续分布之间的距离,在连续的输出分布的空间上(离散采样)上进行直接回归时很有效。

torch.nn.KLDivLoss(reduction='mean')

参数:

  • reduction - 三个值:

    • none:不使用约简;

    • mean:返回loss和的平均值;

    • sum:返回loss的和。默认:mean。

五、二进制交叉熵损失 BCELoss

二分类任务时的交叉熵计算函数。用于测量重构的误差,例如自动编码机。注意目标的值 t[i] 的范围为0到1之间。

torch.nn.BCELoss(weight=None, reduction='mean')

参数:

  • weight (Tensor, optional) – 自定义的每个 batch 元素的 loss 的权重。必须是一个长度为“nbatch”的Tensor。

  • reduction - 三个值:

    • none:不使用约简;

    • mean:返回loss和的平均值;

    • sum:返回loss的和。默认:mean。

六、BCEWithLogitsLoss

BCEWithLogitsLoss损失函数把 Sigmoid 层集成到了 BCELoss 类中。该版比用一个简单的 Sigmoid 层和 BCELoss 在数值上更稳定, 因为把这两个操作合并为一个层之后, 可以利用 log-sum-exp 的技巧来实现数值稳定。

torch.nn.BCEWithLogitsLoss(weight=None, reduction='mean', pos_weight=None)
参数:
  • weight (Tensor, optional) – 自定义的每个 batch 元素的 loss 的权重。必须是一个长度为 “nbatch”的Tensor。

  • reduction - 三个值:

    • none:不使用约简;

    • mean:返回loss和的平均值;

    • sum:返回loss的和。默认:mean。

七、MarginRankingLoss
torch.nn.MarginRankingLoss(margin=0.0, reduction='mean')
对于mini-batch(小批量)中每个实例的损失函数如下:参数:
  • margin:默认值0

  • reduction - 三个值:

    • none:不使用约简;

    • mean:返回loss和的平均值;

    • sum:返回loss的和。默认:mean。

八、HingeEmbeddingLoss
torch.nn.HingeEmbeddingLoss(margin=1.0,  reduction='mean')

对于 mini-batch(小批量) 中每个实例的损失函数如下:

参数:

  • margin:默认值1

  • reduction - 三个值:

    • none:不使用约简;

    • mean:返回loss和的平均值;

    • sum:返回loss的和。默认:mean。

九、多标签分类损失 MultiLabelMarginLoss
torch.nn.MultiLabelMarginLoss(reduction='mean')
对于mini-batch(小批量)中的每个样本按如下公式计算损失:

参数:

  • reduction - 三个值:

    • none:不使用约简;

    • mean:返回loss和的平均值;

    • sum:返回loss的和。默认:mean。

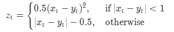
十、平滑版L1损失 SmoothL1Loss

也被称为 Huber 损失函数。

torch.nn.SmoothL1Loss(reduction='mean')

其中:

参数:

  • reduction - 三个值:

    • none:不使用约简;

    • mean:返回loss和的平均值;

    • sum:返回loss的和。默认:mean。

十一、2分类的logistic损失 SoftMarginLoss
torch.nn.SoftMarginLoss(reduction='mean')

参数:

  • reduction - 三个值:

    • none:不使用约简;

    • mean:返回loss和的平均值;

    • sum:返回loss的和。默认:mean。

十二、多标签 one-versus-all 损失 MultiLabelSoftMarginLoss
torch.nn.MultiLabelSoftMarginLoss(weight=None, reduction='mean')

参数:

  • reduction - 三个值:

    • none:不使用约简;

    • mean:返回loss和的平均值;

    • sum:返回loss的和。默认:mean。

十三、cosine 损失 CosineEmbeddingLoss
torch.nn.CosineEmbeddingLoss(margin=0.0, reduction='mean')

参数:
  • margin:默认值0

  • reduction - 三个值:

    • none:不使用约简;

    • mean:返回loss和的平均值;

    • sum:返回loss的和。默认:mean。

十四、多类别分类的hinge损失 MultiMarginLoss
torch.nn.MultiMarginLoss(p=1, margin=1.0, weight=None,  reduction='mean')

参数:
  • p=1或者2;默认值:1

  • margin:默认值:1

  • reduction - 三个值:

    • none:不使用约简;

    • mean:返回loss和的平均值;

    • sum:返回loss的和。默认:mean。

十五、三元组损失 TripletMarginLoss

和孪生网络相似,具体例子:给一个A,然后再给B、C,看看B、C谁和A更像。

torch.nn.TripletMarginLoss(margin=1.0, p=2.0, eps=1e-06, swap=False, reduction='mean')

其中:

参数:

  • reduction - 三个值:

    • none:不使用约简;

    • mean:返回loss和的平均值;

    • sum:返回loss的和。默认:mean。

十六、连接时序分类损失 CTCLoss

CTC连接时序分类损失,可以对没有对齐的数据进行自动对齐,主要用在没有事先对齐的序列化数据训练上。比如语音识别、ocr识别等等。

torch.nn.CTCLoss(blank=0, reduction='mean')

参数:

  • reduction - 三个值:

    • none:不使用约简;

    • mean:返回loss和的平均值;

    • sum:返回loss的和。默认:mean。

十七、负对数似然损失 NLLLoss

负对数似然损失。用于训练 C 个类别的分类问题。

torch.nn.NLLLoss(weight=None, ignore_index=-100,  reduction='mean')
参数:
  • weight(Tensor, optional) – 自定义的每个类别的权重。必须是一个长度为 C 的 Tensor。

  • ignore_index(int, optional) – 设置一个目标值,该目标值会被忽略,从而不会影响到输入的梯度。

  • reduction - 三个值:

    • none:不使用约简;

    • mean:返回loss和的平均值;

    • sum:返回loss的和。默认:mean。

十八、NLLLoss2d

对于图片输入的负对数似然损失。它计算每个像素的负对数似然损失。

torch.nn.NLLLoss2d(weight=None, ignore_index=-100, reduction='mean')
参数:
  • weight (Tensor, optional) – 自定义的每个类别的权重。必须是一个长度为 C 的Tensor。

  • reduction - 三个值:

    • none:不使用约简;

    • mean:返回loss和的平均值;

    • sum:返回loss的和。默认:mean。

十九、PoissonNLLLoss

目标值为泊松分布的负对数似然损失。

torch.nn.PoissonNLLLoss(log_input=True, full=False,  eps=1e-08,  reduction='mean')
参数:
  • log_input (bool, optional) – 如果设置为 True , loss 将会按照公式 exp(input) - target * input 来计算, 如果设置为 False , loss 将会按照 input - target * log(input+eps) 计算

  • full (bool, optional) – 是否计算全部的 loss, i. e. 加上 Stirling 近似项 target * log(target) - target + 0.5 * log(2 * pi * target)

  • eps (float, optional) – 默认值: 1e-8

  • reduction - 三个值:

    • none:不使用约简;

    • mean:返回loss和的平均值;

    • sum:返回loss的和。默认:mean。

仅作学术分享,若侵权请联系删除

作者:

mingo_敏

来源:

https://blog.csdn.net/shanglianlm/article/details/85019768

编辑:黄继彦

校对:杨学俊