文章目录
- 单纯形法求解线性规划问题
-
- 概念
- 数学模型
- 线性规划的标准型一般形式为:
- 将下述线性规划化标准型
- 而变换方法如下:
-
- 我们用中学时简单的线性规划来看一下如何解决实际问题的
-
- 图解法求解
- 说了这么多,还是回到主题单纯形法上来
- 所以下面来点干货
- optimize包
-
-
- 参考文章
-
单纯形法求解线性规划问题

概念
线性规划(Linear programming),是运筹学中研究较早、发展较快、应用广泛、方法较成熟的一个重要分支,它是辅助人们进行科学管理的一种数学方法。研究线性约束条件下线性目标函数的极值问题的数学理论和方法。英文缩写LP。
数学模型
(1)列出约束条件及目标函数
(2)画出约束条件所表示的可行域
(3)在可行域内求目标函数的最优解及最优值
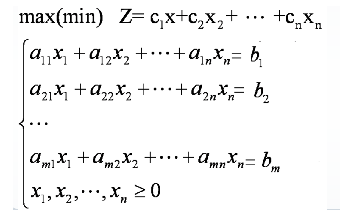
线性规划的标准型一般形式为:

这里规定的标准形式为:
1.目标函数的要求是max
2.约束条件的要求是等式
3.决策变量的要求是非负约束
4.在标准型式中规定各约束条件的右端项bi≥0,否则等式两端乘以“-1”。
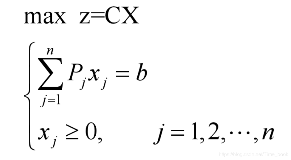
用向量和矩阵符号表述时为:


称A为约束条件的m×n维系数矩阵,一般m<n; m,n>0;
b为资源向量;
C为价值向量;
X为决策变量向量。
下面举个例子:
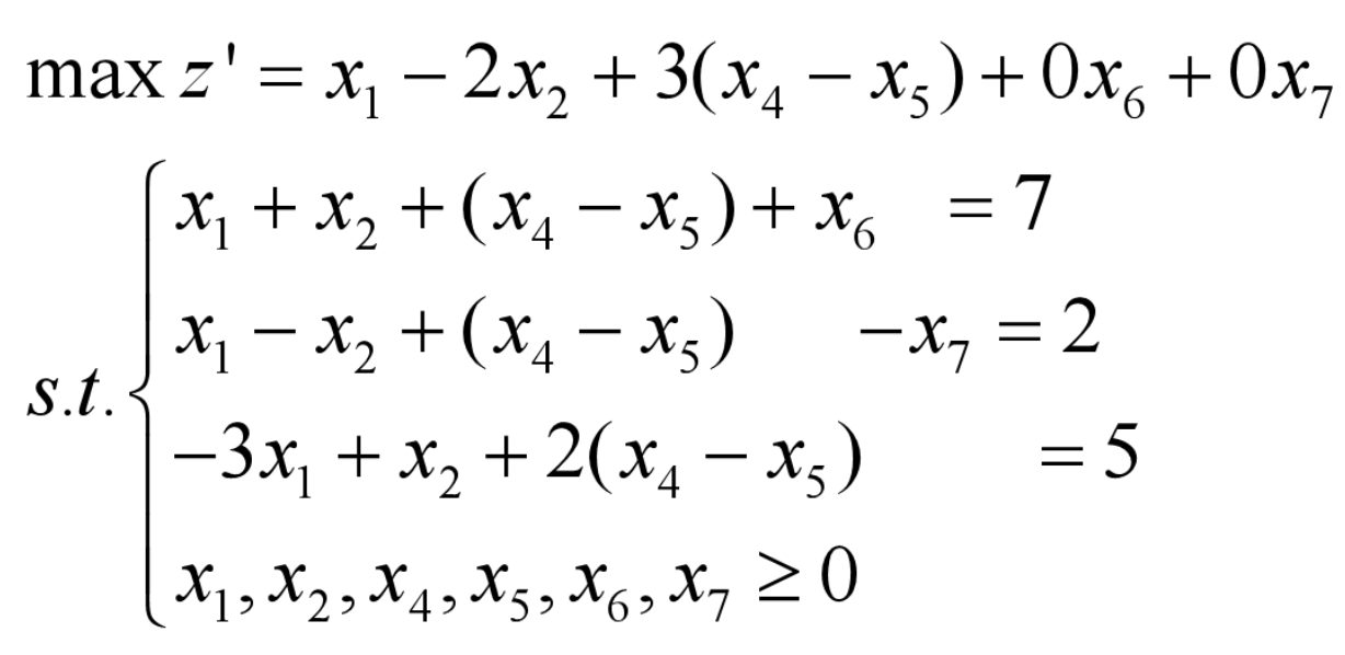
将下述线性规划化标准型

而变换方法如下:

最终我们还是需要回归到实际应用中
我们用中学时简单的线性规划来看一下如何解决实际问题的
图解法求解



无穷多最优解。若将上例中的目标函数变为求max Z=4x1+6x2,则目标函数与等值区域边界线2x1+3x2=18平行,线段BC上的任意一点都使Z取得相同的最大值,此时线性规划问题有无穷多最优解,如下图所示:

说了这么多,还是回到主题单纯形法上来
一般线性规划问题中当线性方程组的变量数大于方程个数,这时会有不定数量的解,而单纯形法是求解线性规划问题的通用方法。
所以下面来点干货
单纯形法的计算步骤
第一步:求出线性规划的初始基可行解,列出初始单纯形表。
第二步:进行最优性检验。各非基变量检验数为

则表中的基可行解是问题的最优解,计算到此结束,否则进入下一步。
第三步:在
中,若有某个

对应xk的系数列向量Pk≤0,则此问题无界,停止计算。否则,转入下一步。
第四步:从一个基可行解换到另一个目标函数值更大的基可行解,列出新的单纯形表。
确定换入变量,有

对应的变量xj就可作为换入变量,当有两个以上检验数大于零,一般取最大的

即
取xk 作为换入变量。
确定换出变量。根据最小θ规则,对Pk列由公式计算得:

确定是
换出变量。
元素aik决定了从一个基本可行解到另一个可行解的转移去向,取名为主元素。以aik 为主元素进行旋转变换,得到新的单纯形表,转到步骤二。
下面是代码演示:
import numpy as np# d数组第0行是c,最后一列是b,其余是Adef pivot():l = list(d[0][:-1]) # jnum = l.index(max(l)) #转入编号m = []for i in range(bn):if d[i][jnum] == 0:m.append(0.)else:m.append(d[i][-1]/d[i][jnum])inum = m.index(min([x for x in m[1:] if x!=0])) #转出下标s[inum-1] = jnum #更新基变量#更新dr = d[inum][jnum]d[inum] /= rfor i in [x for x in range(bn) if x !=inum]:r = d[i][jnum]d[i] -= r * d[inum]def solve():flag = Truewhile flag:if max(list(d[0][:-1])) <= 0: #直至所有系数小于等于0flag = Falseelse:pivot()def printSol():for i in range(cn - 1):if i in s:print("x"+str(i)+"=%.2f" % d[s.index(i)+1][-1])else:print("x"+str(i)+"=0.00")print("objective is %.2f"%(-d[0][-1]))
d = np.loadtxt("F:/人工智能与机器学习/data.txt", dtype=np.float)
(bn,cn) = d.shape
s = list(range(cn-bn,cn-1)) #基变量列表
solve()
printSol()
x0=0.00
x1=1.00
x2=3.00
x3=0.00
x4=2.00
x5=0.00
x6=0.00
objective is 32.00
data.txt
1 14 6 0 0 0 0 01 1 1 1 0 0 0 41 0 0 0 1 0 0 20 0 1 0 0 1 0 30 3 1 0 0 0 1 6
optimize包
from scipy.optimize import linprogC = [-1,-14,-6]
A = [[1,1,1],[0,3,1]]
b = [4,6]
X0_bounds = [None,2]
X1_bounds = [None,None]
X2_bounds = [None,3]
res = linprog(C,A,b,bounds=(X0_bounds,X1_bounds,X2_bounds))
print(res)
con: array([], dtype=float64)fun: -31.999999992607634message: 'Optimization terminated successfully.'nit: 4slack: array([1.89428917e-09, 1.10320819e-09])status: 0success: Truex: array([-8.09045719e-10, 1.00000000e+00, 3.00000000e+00])
所以最优解为31.999999992607634
单纯形法的优点:计算简单,不需要求函数(偏)导数,可以没有函数的解析式,只要有函数值即可应用
缺点:收敛速度慢
适合场合:各种无约束问题
单纯形法的最坏时间复杂度为指数级别
参考文章
https://wenku.baidu.com/view/eecfcc29ed630b1c59eeb52c.html
https://blog.csdn.net/kittyzc/article/details/81707464